Asymptotes
An asymptote of the curve y = f(x) is a straight line such that the distance between the curve and the straight line lends to zero when the points on the curve approach infinity.
Basically that means that limit( f(x) – (ax+b) ) -> 0 as x -> infinity where y = ax+b is the asymptote.
Vertical Asymptotes
A vertical asymptote of a graph is a vertical line x = a where the graph tends toward
positive or negative infinity as the inputs approach .
In arrow notation this is written

This can also be written in limit notation as:

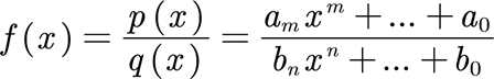
For a rational function

- If m < n, then there is a horizontal asymptote at y = 0.
- If m = n, then there is a horizontal asymptote at y = (am)/(bn) (i.e., ratio of the leading coefficients).
- If m > n, then there is a slant asymptote at y = (amxm + … + a0) (bnxn + … + b0) without the remainder. In this concept, we will only have functions where m is one greater than n.
Given a rational function, identify any vertical asymptotes of its graph.
- Factor the numerator and denominator.
- Note any restrictions in the domain of the function.
- Reduce the expression by canceling common factors in the numerator and the denominator.
- Note any values that cause the denominator to be zero in this simplified version. These are where the vertical asymptotes occur.
- Note any restrictions in the domain where asymptotes do not occur. These are removable discontinuities, or “holes.”
Horizontal Asymptotes
The horizontal asymptote of a function is a horizontal line to which the graph of the function appears to coincide with but it doesn’t actually coincide. The horizontal asymptote is used to determine the end behavior of the function.
A horizontal asymptote of a graph is a horizontal line y = b where the graph approaches the
line as the inputs increase or decrease without bound.
In arrow notation this is written

This can also be written in limit notation as:

Here are the steps to find the horizontal asymptote of any type of function y = f(x).
- Step 1: Find lim ₓ→∞ f(x), i.e., apply the limit for the function as x→∞.
- Step 2: Find lim ₓ→ -∞ f(x), i.e., apply the limit for the function as x→ -∞.
- Step 3: If either (or both) of the above limits are real numbers then represent the horizontal asymptote as y = k where k represents the value of the limit.
If either (or both) of the above cases give ∞ or -∞ as the answer then just ignore them and they are NOT the horizontal asymptotes. Sometimes, each of the limits may give the same value and in that case (as in the example on the CUEMATH Horizontal Asymptote page), we have only one horizontal asymptote (HA). To know how to evaluate the limits click here.
References
“3.9: Rational Functions – Mathematics LibreTexts”. 2022. math.libretexts.org. https://math.libretexts.org/Courses/Monroe_Community_College/MTH_165_College_Algebra_MTH_175_Precalculus/03%3A_Polynomial_and_Rational_Functions/3.9%3A_Rational_Functions.
“Horizontal Asymptote – Rules | Finding Horizontal Asymptote”. 2022. CUEMATH. https://www.cuemath.com/calculus/horizontal-asymptote/.
Monroe Community College, MTH 165 & 175 College Algebra & Precalculus. (Rochester, New York: LibreTexts, 2022).
“Removable Discontinuity | Non Removable And Jump Discontinuity”. 2022. CUEMATH. https://www.cuemath.com/calculus/removable-discontinuity/.
Holes of a Rational Function
The holes of a rational function are points that seem that they are present on the graph of the rational function, but they are actually not present. They can be obtained by setting the linear factors that are common factors of both numerator and denominator of the function equal to zero and solving for x. We can find the corresponding y-coordinates of the points by substituting the x-values in the simplified function. Every rational function does NOT need to have holes. Holes exist only when numerator and denominator have linear common factors.
Example: Find the holes of the function f(x) = (x2 + 5x + 6) / (x2 + x – 2).
Solution: Let us factorize the numerator and denominator and see whether there are any common factors.

References
“Holes In Rational Functions ( Read ) | Algebra”. CK-12 Foundation. https://www.ck12.org/algebra/excluded-values-for-rational-expressions/lesson/Holes-in-Rational-Functions-PCALC/.
“Rational Function – Graph, Domain, Range, Asymptotes”. 2022. CUEMATH. https://www.cuemath.com/calculus/rational-function/.
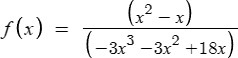
Example
State any asymptotes, holes, x– and y-intercepts, and domain and range for the following functions. Then, sketch the graph (see FIGURE below). If one doesn’t exist, state NONE.

To find the vertical asymptotes, we determine where this function will be undefined by setting the denominator equal to zero:
-3x(x + 3)(x – 2) = 0
Vertical & Horizontal Asymptotes at -3 and 2
Neither x + 3 nor x – 2 are zeros of the numerator, so the two values indicate two vertical asymptotes. The graph in figure confirms the location of the two vertical asymptotes. Also, since m < n, there is a horizontal asymptote at y = 0 (see Asymptote Rules above).
Since x was eliminated from the numerator and denominator, x = 0 becomes a removable discontinuity, therefore a hole.
Substituting 0 for x in f(x), gives us

So, the hole is at (0, -1/18)
What about the x-intercepts? Set f(x) = 0 and solve:

Multiple both sides by the denominator -3(x+3)(x-2) and solve. We get x = 1
Our x-intercept is now (1, 0) No y-intercepts since we have a hole at (0, -1/18)
Domain: {ℝ | x ≠ -3, 0, 2}
Range: ℝ

The featured image on this page is from the YouTube video “What is a Polynomial?” 2012. ExamSolutions. https://youtu.be/lYy8Nh9AdWk.
⭐ I suggest that you read the entire reference. Other references can be read in their entirety but I leave that up to you.