Factoring a Polynomial
Of all the topics covered, factoring polynomials is probably the most important topic. There are many problems where the first step will be to factor a polynomial. So, if you can’t factor the polynomial then you won’t be able to even start the problem let alone finish it.
The process of factoring a polynomials breaks the polynomial into products of smaller polynomials. By multiplying these products together, you’d be able to return to the original polynomial. Factoring linear expressions, quadratic expressions, monomials, binomials, and polynomials can be accomplished using different types of methods like grouping, synthetic division, and box method.
Greatest Common Factor
The first method for factoring polynomials will be factoring out the greatest common factor. When factoring in general this will also be the first thing that we should try as it will often simplify the problem.
To use this method all that we do is look at all the terms and determine if there is a factor that is in common to all the terms. If there is, we will factor it out of the polynomial. Also note that in this case we are really only using the distributive law in reverse. Remember that the distributive law states that a(b + c)= ab + ac
In factoring out the greatest common factor we do this in reverse. We notice that each term has an aa in it and so we “factor” it out using the distributive law in reverse as follows: ab + ac = a(b + c)
For examples of how to factor out the greatest common factor, see the references below.
Factoring by Grouping
It is possible to factor a polynomial containing four or more terms by factoring common monomials from groups of terms. This method is called factoring by grouping.
- Divide Polynomial Into Groups.
- Factor Individual Groups.
- Factor the Entire Polynomial.
For examples of how to factor by grouping, see the references below.
Factoring Polynomials in Quadratic Form
Quadratic form is when a polynomial looks like a trinomial or binomial and can be factored like a quadratic. One example is when a polynomial is in the form ax4 + bx2 + c. Another possibility is something similar to the difference of squares, a4 − b4. This can be factored to (a2 − b2)(a2 + b2) or (a − b)(a + b)(a2 + b2). Always keep in mind that the greatest common factors should be factored out first.
For examples of how to factor polynomials in quadratic form, see the references below.
Factoring Polynomials with Degree Greater than 2
Factor: x4 – 5x3 + 3x2 + 9x
STEP 1
Using GCF, factor out x. We now have x ( x3 – 5x2 + 3x + 9 )
STEP 2
Find all linear factors of x3 – 5x2 + 3x + 9.
Hint: Find all linear factors of x3 – 5x2 + 3x + 9 via the rational root theorem. Do this by finding rational roots. The candidates are x = ± (p/q) for all p that are divisors of the constant term 9 and for all q that are divisors of the leading coefficient 1.
The possible rational roots of x3 – 5x2 + 3x + 9 are x = ± 1, x = ±3, x = ±9. Of these, x = -1 and x = 3 are roots. This gives us x + 1 and x – 3 as all linear factors:

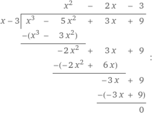
STEP 3
Hint: Divide (x – 3) into x3 – 5x2 + 3x + 9


STEP 4
Hint: Divide (x – 3) into x2 – 2x – 3

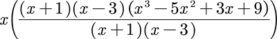
x (x – 3)(x + 1)(x – 3)
STEP 5
Combine powers (x + 1) (x – 3)2.
STEP 6
Answer: x (x + 1) (x – 3)2
References
⭐ “6.7 Factoring by Grouping”. 2022.CK-12 Foundation. https://flexbooks.ck12.org/cbook/ck-12-algebra-ii-with-trigonometry-concepts/section/6.7/primary/lesson/factoring-by-grouping-alg-ii/.
⭐ “6.8 Factoring Polynomials in Quadratic Form”. CK-12 Foundation. https://flexbooks.ck12.org/cbook/ck-12-algebra-ii-with-trigonometry-concepts/section/6.8/primary/lesson/factoring-polynomials-in-quadratic-form-alg-ii/.
⭐ “Algebra – Factoring Polynomials – Section 1.5 : Factoring Polynomials”. 2022. tutorial.math.lamar.edu. https://tutorial.math.lamar.edu/classes/alg/factoring.aspx.
“Factor by Grouping – Methods & Examples”. 2022. The Story Of Mathematics – A History Of Mathematical Thought From Ancient Times To The Modern Day. https://www.storyofmathematics.com/factoring-by-grouping/.
“Factoring Polynomials: Definition, Factored Form & Examples”. 2022. StudySmarter US. https://www.studysmarter.us/explanations/math/pure-maths/factoring-polynomials/.
⭐ “Factoring Polynomials (Methods) | How to Factorise Polynomial?”. 2022. BYJUS. https://byjus.com/maths/factoring-polynomials/.
“Factoring Polynomials in Quadratic Form”. 2022.CK-12 Foundation. https://flexbooks.ck12.org/cbook/ck-12-algebra-ii-with-trigonometry-concepts/section/6.8/primary/lesson/factoring-polynomials-in-quadratic-form-alg-ii/.
“Factoring Quadratics: Common Factor + Grouping (Video) | Khan Academy”. 2022. Khan Academy. https://www.khanacademy.org/math/algebra-home/alg-polynomials/alg-factoring-polynomials-quadratic-forms/v/factoring-trinomials-by-grouping-5.
“How To Factor Polynomials Using Grouping | StudyPug”. 2022. studypug.com. https://www.studypug.com/algebra-help/factor-by-grouping.
“Intro To Factors & Divisibility (Video) | Khan Academy”. 2022. Khan Academy. https://www.khanacademy.org/math/algebra-home/alg-polynomials/alg-introduction-to-factorization/v/factors-and-divisibility-in-algebra.
“Intro To Grouping (Video) | Khan Academy”. 2022. Khan Academy. https://www.khanacademy.org/math/algebra/x2f8bb11595b61c86:quadratics-multiplying-factoring/x2f8bb11595b61c86:factor-quadratics-grouping/v/factor-by-grouping-and-factoring-completely.
Roberts, Donna. 2022. “Factoring By Grouping – MathBitsNotebook (A2 – CCSS Math)”. mathbitsnotebook.com. https://mathbitsnotebook.com/Algebra2/Polynomials/POGrouping.html.
⭐ “Solving Equations in Quadratic Form”. 2022. CliffsNotes. https://www.cliffsnotes.com/study-guides/algebra/algebra-ii/quadratics-in-one-variable/solving-equations-in-quadratic-form.
Stapel, Elizabeth. 2022. “Factoring “In Pairs” (Or “By Grouping”) | Purplemath”. Purplemath. https://www.purplemath.com/modules/simpfact3.htm.
Stapel, Elizabeth. 2022. “Factoring Quadratics: The Weird Case”. Purplemath. https://www.purplemath.com/modules/factquad4.htm.
Videos
This algebra 2 video tutorial explains how to factor higher degree polynomial functions and polynomial equations. It shows you how to factor expressions and equations in quadratic form using substitution. It shows you how to factor cubic polynomials using the factor by grouping method and how to factor special cases such as difference of squares and sum of cubes expressions. This video contains plenty of examples and practice problems.
Solving Polynomial Equations By Factoring and Using Synthetic Division – Algebra 2 & Precalculus
This algebra 2 and precalculus video tutorial focuses on solving polynomial equations by factoring and by using synthetic division. This video contains plenty of examples and practice problems.
The featured image on this page is from the YouTube video “What is a Polynomial?” 2012. ExamSolutions. https://youtu.be/lYy8Nh9AdWk.
⭐ I suggest that you read the entire reference. Other references can be read in their entirety but I leave that up to you.