Composition of Functions

Suppose we wanted to calculate how much it costs to heat a house on a particular day of the year. The cost to heat a house will depend on the average daily temperature, and the average daily temperature depends on the particular day of the year. Notice how we have just defined two relationships: The temperature depends on the day, and the cost depends on the temperature. Using descriptive variables, we can notate these two functions.
The first function, C(T), gives the cost C of heating a house when the average daily temperature is T degrees Celsius, and the second, T(d), gives the average daily temperature of a particular city on day d of the year. If we wanted to determine the cost of heating the house on the fifth day of the year, we could do this by linking our two functions together, an idea called composition of functions. Using the function T(d), we could evaluate T(5) to determine the average daily temperature on the fifth day of the year. We could then use that temperature as the input to the C(T) function to find the cost to heat the house on the fifth day of the year: C(T(5)).
References
“1.1.5: Composition Of Functions”. 2021. Mathematics LibreTexts. https://math.libretexts.org/Sandboxes/jhalpernlibretexts.org/Book-_Precalculus_I_for_Highline_College_w_Rational_Inequalities_and_Equations_of_Circles/1.01%3A_Functions/1.1.05%3A_Composition_of_Functions.
“1.4: Composition Of Functions”. 2021. Mathematics LibreTexts. https://math.libretexts.org/Courses/Hartnell_College/MATH_25%3A_PreCalculus_(Abramson_OpenStax)/01%3A_Functions/1.04%3A_Composition_of_Functions.
“3.3: Composition Of Functions”. 2022. Mathematics LibreTexts. https://math.libretexts.org/Courses/Cosumnes_River_College/Math_333%3A_Introduction_to_College_Algebra/03%3A_Functions/3.03%3A_Composition_of_Functions.
“3.4: Composition Of Functions”. 2020. Mathematics LibreTexts. https://math.libretexts.org/Courses/Western_Connecticut_State_University/Draft_Custom_Version_MAT_131_College_Algebra/03%3A_Functions/3.04%3A_Composition_of_Functions.
“6.1: Operations On Functions Given By Formulas – Mathematics LibreTexts”. 2023. math.libretexts.org. https://math.libretexts.org/Bookshelves/Precalculus/Precalculus_(Tradler_and_Carley)/06%3A_Operations_on_Functions/6.01%3A_Operations_on_functions_given_by_formulas.
“Composition Of Functions”. 2023. mathsisfun.com. https://www.mathsisfun.com/sets/functions-composition.html.
Operations with Functions
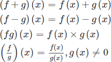
Functions behave exactly as one would expect with regard to the four basic operations of algebra (addition, subtraction, multiplication, and division). When functions are combined by these operations, though, the domain of the new combined function is only the elements that were shared by the domains of the original functions. Below are the formulas for combining functions.
Functions with overlapping domains can be added, subtracted, multiplied and divided. If f(x) and g(x) are two functions, then for all x in the domain of both functions the sum, difference, product and quotient are defined as follows.

References
“17.3.1: Arithmetic Operations With Functions”. 2021. Mathematics LibreTexts. https://math.libretexts.org/Bookshelves/Applied_Mathematics/Developmental_Math_(NROC)/17%3A_Functions/17.03%3A_Operations_with_Functions/17.3.01%3A_Arithmetic_Operations_with_Functions.
“Operations On Functions”. 2023. varsitytutors.com. https://www.varsitytutors.com/hotmath/hotmath_help/topics/operations-on-functions.
“Operations With Functions”. 2023. mathsisfun.com. https://www.mathsisfun.com/sets/functions-operations.html.
“Operations With Functions: Addition And Subtraction Of Functions | sparknotes”. 2023. sparknotes. https://www.sparknotes.com/math/algebra2/operationswithfunctions/section1/.
“Operations With Functions: Multiplication And Composition Of Functions | sparknotes”. 2023. sparknotes. https://www.sparknotes.com/math/algebra2/operationswithfunctions/section2/.
Smith, William. 2022. “Function Operations – Explanation And Examples”. The Story Of Mathematics – A History Of Mathematical Thought From Ancient Times To The Modern Day. https://www.storyofmathematics.com/function-operations/.
Inverse of a Function
In mathematics, the inverse function of a function f (also called the inverse of f ) is a function that undoes the operation of f. The inverse of f exists if and only if f is bijective, and if it exists, is denoted by f -1. 1
A function tells you the value of y given the value of x. The inverse of a function will tell you the value of x given the value of y. 2
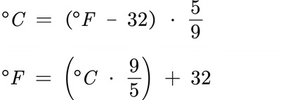
Example – Conversion Between Celsius and Fahrenheit
A familiar example of a function and its inverse is the conversion of Celsius to Fahrenheit, and Fahrenheit to Celsius.

Graph of the Inverse Function
The inverse of a function differs from the function in that all the x-coordinates and y-coordinates have been switched. That is, if (4,6) is a point on the graph of the function, then (6,4) is a point on the graph of the inverse function.
Points on the identity function (y = x) will remain on the identity function when switched. All other points will have their coordinates switched and move locations.
The graph of a function and its inverse are mirror images of each other. They are reflected about the identity function y = x. 3
Example – Graph of a Function and Its Inverse
f(x) = 2x + 4
f -1(x) = (x – 4)/2

If we think of x = 1, y = 6 as a point on a graph (1, 6), then the inverse point would be (6, 1) which is the reflection of (1, 6) in the line y = x. 3
References
1 “Inverse Function – Wikipedia”. 2023. en.wikipedia.org. https://en.wikipedia.org/wiki/Inverse_function.
2 “1.7 – Inverse Functions”. 2023. people.richland.edu. https://people.richland.edu/james/lecture/m116/functions/inverses.html.
3 ⭐ Lloyd, Philip. “What Is An Inverse Function?” 2023. Quora. https://qr.ae/prCknm.
Additional Reading
“Applications and Use of The Inverse Functions”. 2023. analyzemath.com. https://www.analyzemath.com/inversefunction/applications_inverse.html.
“Applications of Inverse Functions”. 2023. Chegg. https://www.chegg.com/learn/calculus/precalculus/applications-of-inverse-functions.
hubble. “Purpose of Inverse Functions”. 2017. StackExchange. https://math.stackexchange.com/q/2033566.
Finding inverse functions and understanding their properties is fairly basic within mathematics. During my studies it was found fairly simple and easy to comprehend that it was a swapping of the outputs and inputs of a function. But now it has reappeared in calculus as finding the derivative of inverse functions and has me thinking what is the actual real world application of inverses. Like how studying quadratics is extremely useful in modeling objects in free fall.
Sollenberger, Eric. “Why Do We Need To Find The Inverse Of A Function? Is There Any Physical Significance?”. 2023. Quora. https://qr.ae/prCkI6.
“How To Convert Celsius To Fahrenheit (First Learn To Spell It)”. 2023. ThoughtCo. https://www.thoughtco.com/celcius-to-farenheit-formula-609227.
“Inverse Functions”. 2023. mathsisfun.com. https://www.mathsisfun.com/sets/function-inverse.html.
“Inverse Function (Definition And Examples)”. 2023. BYJUS. https://byjus.com/maths/inverse-functions/.
“Inverse Function – Definition, Formula, Graph, Examples”. 2023. CUEMATH. https://www.cuemath.com/algebra/inverse-functions/.
Stapel, Elizabeth. 2023. “How To Tell If The Inverse Is Also A Function”. Purplemath. https://www.purplemath.com/modules/invrsfcn2.htm.
Odd or Even Functions
Symmetry
The graphs of certain functions have symmetry properties that help us understand the function and the shape of its graph.
Symmetry with respect to the x-axis. For every point (x, y) on the graph, point (x, −y) is also on the graph.
Symmetry with respect to the y-axis. For every point (x, y) on the graph, point (−x, y) is also on the graph.
Symmetry with respect to the origin. For every point (x ,y) on the graph, point (−x, −y) is also on the graph.
How to: Determine if a Function is Even or Odd, and what Kind of Symmetry it Has
- Evaluate f(−x) and simplify it.
- Compare the result with f(x) and −f(x)
- If f(x) = f(−x) then f is an even function and has y-axis symmetry.
- If f(−x) = −f(x) then f is an odd function and has origin symmetry.
A function cannot be both even and odd.
A function can never have x-axis symmetry.
Odd / Even Functions
There are different types of functions in mathematics that we study. We can determine whether a function is even or odd algebraically or graphically. Even and Odd functions can be checked by plugging in the negative inputs (-x) in place of x into the function f(x) and considering the corresponding output value. Even and odd functions are classified on the basis of their symmetry relations. Even and odd functions are named based on the fact that the power function f(x) = xn is an even function, if n is even, and f(x) is an odd function if n is odd. A function can be even or odd or both even and odd, or neither even nor odd.
References
“2.2: Attributes Of Functions”. 2020. Mathematics LibreTexts. https://math.libretexts.org/Courses/Monroe_Community_College/MTH_165_College_Algebra_MTH_175_Precalculus/02%3A_Functions_and_Their_Graphs/2.02%3A_Attributes_of_Functions.
“Even and Odd Functions – Definition, Properties, Graph, Examples.” 2025. CUEMATH. Accessed June 9. https://www.cuemath.com/algebra/even-and-odd-function/.
What is the cosine function? Is it even or odd, and why?
Firstly, let’s just explain simple what even and odd functions are!
Even functions are symmetrical about the y axis.
———————————————————————————————————————-
Odd functions have rotational symmetry about the origin. This means if you rotate them 180 degrees, they look just the same.
—————————————————————————————————————
References
Lloyd, Philip. “What is the cosine function? Is it even or odd, and why?”. 2023. Quora. https://qr.ae/pyhVGn.
There are algebraic conditions and tests to decide whether a function even, odd or neither but I find the concept is so much easier to understand from a simple graphical viewpoint.
References
Lloyd, Philip. “Is this function f(x) = x^3 + x – 6 odd, even, or neither? If so, how?” 2023. Quora. https://qr.ae/pr9XJK.
Videos
This algebra 2 and precalculus video tutorial explains how to determine whether a function f is even, odd, or neither algebraically and using graphs. This video contains plenty of examples and practice problems using variables and constants. First, plug in -x into the equation and see if the sign changes. If all signs change, it’s an odd function. If they all remain the same, then it’s an even function. If some change while others do not, the function is neither even or odd. For graphs, even functions are symmetric about the y axis. For odd functions, the symmetry exists about the origin. For circles with even and odd properties, it does not pass the vertical line test and is therefore not a function.
The featured image on this page is from “What is a function?” 2022. thinglink. http://www.thinglink.com/scene/538088438402908160.
⭐ I suggest that you read the entire reference. Other references can be read in their entirety but I leave that up to you.